
培美曲塞作为肿瘤科最常用的化疗药之一,大家都是比较熟悉的,大家也都知道在使用培美曲塞之前,患者需使用维生素 B12。
培美曲塞说明书规定:

图源:用药助手App
甲钴胺注射液是肿瘤科常用辅助用药之一,在临床上会用甲钴胺来缓解患者化疗药物的神经毒性。而实际上甲钴胺注射液也是维生素 B12 注射液,那么在培美曲塞预处理时,是否可以用甲钴胺来代替维生素 B12 呢?
下面就一起来探究这个问题。
2010 版《药典》规定,接受培美曲塞治疗患者应同时应用叶酸和维生素 B12,以减少治疗相关的血液学毒性。
多个研究证实补充叶酸和维生素 B12 均可以减轻培美曲塞的血液毒性,提高患者对化疗的耐受性,使用叶酸和维生素 B12 后,3/4 度的血液学毒性由 33% 下降至 12%,4 度的中性粒细胞减少由 28% 下降至 9%。
机制方面,国内外研究表明培美曲塞的血液毒性与外周血同型半胱氨酸密切相关,外周血同型半胱氨酸水平越高,其发生血液毒性的程度越重。
而外周血同型半胱氨酸在体内经甲硫氨酸合酶催化成甲硫氨酸(蛋氨酸),该反应需要维生素 B12(注意,这项反应所需的维生素 B12 实际上是甲钴胺!)和叶酸(甲酰基四氢叶酸)的参与,当这两者缺乏时,外周血同型半胱氨酸转化为甲硫氨酸的比例下降,导致血浆中外周血同型半胱氨酸浓度增高。
因此,补充叶酸(甲酰基四氢叶酸)和维生素 B12(甲钴胺)可以降低外周血同型半胱氨酸水平,减轻培美曲塞化疗的血液毒性。
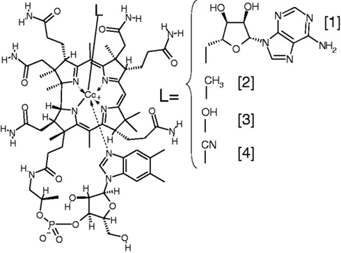
我们再来看一下维生素 B12 这个家族,如下图所示,维生素 B12 是相当特别的维生素,家族中有四大成员:腺苷钴胺、甲钴胺、羟钴胺和氰钴胺(取代基分别对应下图 [1]—[4])。维生素 B12 所有成员的母环都是一种含钴离子的类咕啉化合物结构,其不同点是其取代基团。

虽然维生素 B12 有四大成员,但人体能直接利用两种维生素 B12 只有 2 种:甲钴胺和腺苷钴胺,二者是体内维生素 B12 的两种活性辅酶,其它钴胺素(氰钴胺、羟钴胺)则要在细胞的细胞器中转化为这两种形式后才能被人体利用。
其实,严格来讲,我们俗称或药品标签中的维生素 B12 注射液,这种命名称谓并不十分准确,这种叫法很容易让人误导,认为它是包含维生素 B12 所有家族多成分的注射液。
实际上,维生素 B12 注射液是成分是单一的,它的成分仅是维生素 B12 中家族之一:氰钴胺。也就是说维生素 B12(氰钴胺)和甲钴胺是维生素 B12 中两个平行家族,并不是包含关系,两者成分是不同的。
维生素 B12(氰钴胺)是人工半合成药品,可口服或肌注给药,我们刚刚也说了,氰钴胺是不能被人体直接利用,它入血后一部分储藏在肝脏中,另一部分则进入细胞后转化为甲钴胺、腺苷钴胺发挥作用。
所以,总体可以这么说:维生素 B12(氰钴胺)是甲钴胺的一种前体药物。
对于维生素 B12(氰钴胺)和甲钴胺是否可以相互替代,理论上对于正常的人来说,维生素 B12 和甲钴胺可以相互代替使用的。
维生素 B12 说明书规定的适应证:巨幼红细胞贫血,神经炎的辅助治疗。
甲钴胺说明书规定的适应证:用于周围神经病变和因缺乏维生素 B12 引起的巨幼红细胞贫血。
多项研究证实:口服甲钴胺与肌肉注射维生素 B12 在治疗因缺乏维生素 B12 引起的巨幼红细胞性贫血中疗效相似。
虽然两者大部分时候可以相互代替,实际上甲钴胺临床应用的安全性及疗效均优于维生素 B12(氰钴胺),尤其治疗周围神经病变方面甲钴胺有其独特的优势。
甲钴胺对神经组织具有良好的传递性,可促进核酸-蛋白-脂肪代谢,修复受损的神经组织,在临床上对有糖尿病引起的神经障碍、多发性神经炎等周围神经病,尤其对麻木、疼痛和麻痹有明显的疗效。甲钴胺在临床中使用优势有以下几点:
甲钴胺相比氰钴胺可以不经过肝脏代谢,也不需要进行生物转化,可直接发挥活性作用,肝功能损伤患者可优先选用。
甲钴胺是甲硫氨酸合成酶的辅酶,不仅能为甲硫氨酸的合成提供间接的甲基,而且还能直接提供自身携带的甲基。
有研究表明:在治疗周围神经病变方面,甲钴胺临床应用疗效、安全性方面均优于 B12(氰钴胺)。
总结
综上,我们可以看出:
降低培美曲塞不良反应所需的维生素 B12 实际上是甲钴胺。甲钴胺是甲硫氨酸合成酶的辅酶,不仅能为甲硫氨酸的合成提供间接的甲基,而且还能直接提供自身携带的甲基,所以在降低外周血同型半胱氨酸水平从而降低培美曲塞不良反应发生率方面甲钴胺相比维生素 B12 有一定优势。
维生素 B12 是甲钴胺的前药,维生素 B12 需要发挥作用也需转换成甲钴胺。
在治疗巨幼红细胞贫血方面,甲钴胺与维生素 B12 疗效相当。
所以我们得出结论:甲钴胺注射液完全可以取代维生素 B12 注射液用于培美曲塞的预处理。
但是,虽然甲钴胺有种种的优点,笔者依然不推荐首选甲钴胺,原因有以下几点:
培美曲塞说明书中推荐的药物是维生素 B12,真要较真这也算是一种超说明书用药行为;
维生素 B12 注射液是基药,其价格远低于甲钴胺注射液;
维生素 B12 也并不是一无是处,维生素 B12 在一般光线下几乎不降解,所以在其稳定性方面优于甲钴胺。
所以,笔者仅推荐在特定情况下,如:患者患有外周神经疾病、肝功能受损、当医院出现维生素 B12 注射液断货等情况时,我们可以选用甲钴胺注射液代替维生素 B12 注射液,对培美曲塞进行预处理。
当然,如果患者住院期间已经使用甲钴胺注射液治疗神经系统疾病情况下,使用培美曲塞的方案也无需再使用维生素B12注射液预处理。





发表评论: